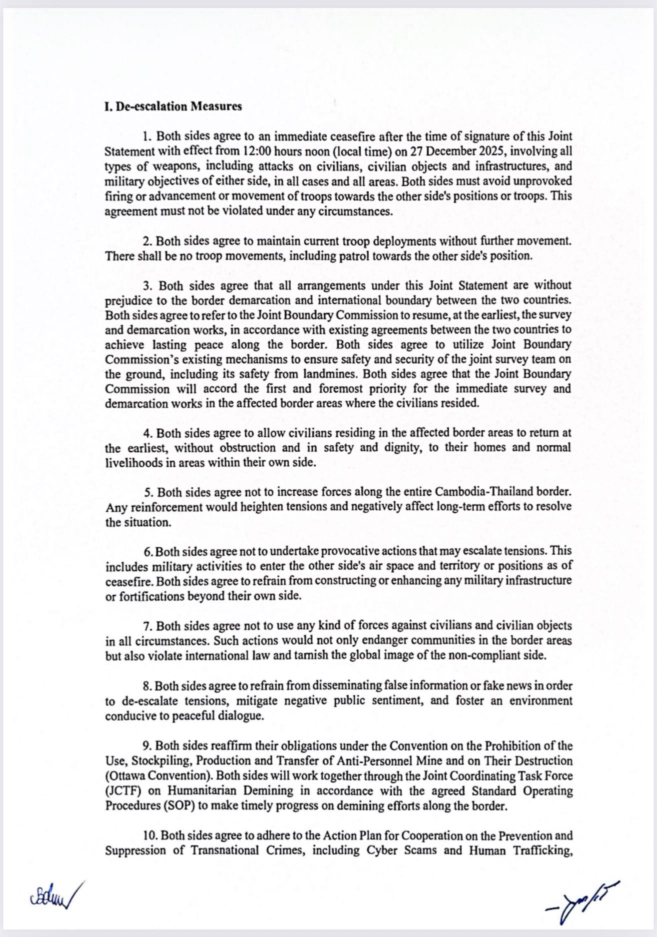
Cambodia and Thailand have agreed to an immediate ceasefire, effective from noon today, December 27, involving all types of weapons, including attacks on civilians, civilian objects and infrastructures, and military objectives of either side, in all cases and all areas.
Both sides must avoid unprovoked firing or advancement or movement of troops towards the other side’s positions or troops. This agreement must not be violated under any circumstances, according to a joint statement signed by Defence Minister Tea Seiha and his Thai counterpart, Nattapon Nakpanich at a Special Meeting of the General Border Committee (GBC).
“Both sides agree to maintain current troop deployments without further movement. There shall be no troop movements, including patrol towards the other side’s position,” said the statement.
According to the agreement, both sides agree to allow civilians residing in the affected border areas to return at the earliest, without obstruction and in safety and dignity, to their homes and normal livelihoods in areas within their own side.
Both sides also agreed to refrain from entering the other side’s air space and territory or positions as of the time of the ceasefire. Both sides agree to refrain from constructing or enhancing any military infrastructure or fortifications beyond their own side. Both sides agree not to use any kind of force against civilians and civilian objects in all circumstances.
“In the spirit of the Kuala Lumpur Joint Declaration on 26 October 2025, the 18 Cambodian soldiers will be returned to Cambodia after the ceasefire has been fully maintained for 72 hours,” said the statement.
The ASEAN Observer Team (AOT) has an important role to play in monitoring the ceasefire and its implementation by both sides.
Although the statement said both sides agree to maintain current troop deployments without further movement, border survey and demarcation work will continue.
As of December 27, it has been 20 days since the clashes reignited on December 7. Since then, 31 civilians have been killed by Thai shelling and nearly 100 others been injured. More than 600,000 people have been displaced.




